1. Determinant of second-order
D = det(A) = |A|
= $\begin{vmatrix} a_{11} & a_{12}\cr b_{11} & b_{12} \end{vmatrix}$
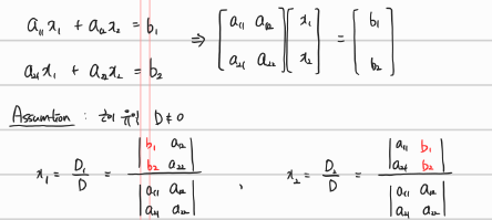
· Cramer's rules for the 2 x 2 matrix equation

2. Determinant of third-order

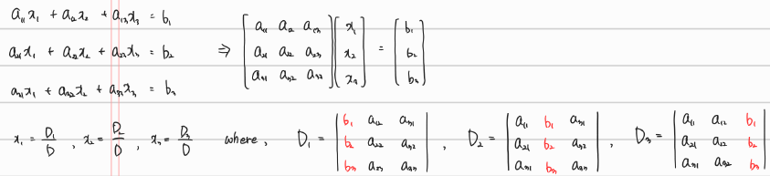
· Cramer's rules for the 3 x 3 matrix equation

3. Fundamental Subspaces
m : #식 n : #변수
· Col(A) : Column space (image) in $R^m$
· Row(A) : Row space (coimage) in $R^n$
· Null(A) : Null space (kernel) in $R^n$
* Null($A^T$) : Left null space (cokernel) in $R^m$
'Linear Algebra' 카테고리의 다른 글
| [Linear Algebra] #09 Inverse of matrix Gauss-Jordan Elimination (0) | 2021.02.02 |
|---|---|
| [Linear Algebra] #08 Solution of linear systems (0) | 2021.02.02 |
| [Linear Algebra] #06 Vector space (0) | 2021.02.02 |
| [Linear Algebra] #05 Linear Independence, Rank of a Matrix, vector space (0) | 2021.02.01 |
| [Linear Algebra] #04 Inverse Matrix by Gauss-Jordan Elimination (0) | 2021.02.01 |