1. vector 의 곱 정의와 Orthogonality
(1) vector 곱 정의
· product ㉮ Inner product : a · b = c (dot product, scalar product)
㉯ Outer product : a x b = c (cross product, vector product)
· 표현법 ㉮ Inner product : c = a · b = $A^{T}b$ = |a||b|cos $\theta$
→ 같은 방향일 때 힘이 최대
㉯ Outer product : c = a x b = |a||b|sin $\theta$ $u$ ($u$ : a x b 방향의 unit vector)
→ 직각일 때 힘이 최대
· 의미 (Inner product) : a · b = |a||b|cos $\theta$
= a · b cos $\theta$

(2) Orthogonal 정의
Def. Orthogonal
a · b = 0 → a 와 b 는 서로 Orthogonal 하다.
→ a 와 b 는 서로 Orthogonal vector set 이다.
2. Orthogonal matrix 와 Orthogonal vector
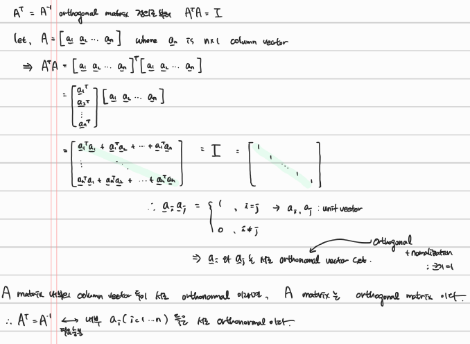
· A matrix 가 Orthogonal matrix 이면, A matrix 내부의 column vector 들은 orthogonal vector set 이다.
Proof. $A^T$ = $A^{-1}$ Orthogonal matrix 정의로부터 $A^T$$A^{-1}$ =$I$

3. Complex matrix 특성
① Hermitian matrix : $A^{*T}$ = $A$ ($A^{H}$ = $A$)
real version → symmetric matrix : $A^T$ = $A$
② Unitary matrix : $A$$A^{H}$ = $A^{H}$$A$ = $I$
real version → Orthogonal matrix : $A$$A^{T}$ = $A^{T}$$A$ = $I$
③ Normal matrix : $A$$A^{H}$ = $A^{H}$$A$
real version → Normal matrix : $A$$A^{T}$ = $A^{T}$$A$
Note」
ⓐ 모든 Unitary, Hermitian and skew-Hermitian catricies → Normal matrices 들이다.
ⓑ 위의 경우가 아니어도 normal matrix 인 경우가 있다.
ⓒ Normal matrix : |$Ax$| = |$A^{T}x$|
Orthogonal matrix : |$Ax$| = |$A^{T}x$| = |$x$|
Theorem」 Invariance of Inner product
An Orthogonal transform preserves the value of the inner product of vector $a$ and $b$ in $R^n$ defined by $a$ · $b$ = $a^{T}b$
Proof 1」 $A$ : orthogonal matrix ($A^T$ = $A^{-1}$) * 증명방향 : $a$·$b$ = $u$·$v$
let $u$ = $Aa$ and $v$ = $Ab$
$u$ · $v$ = $Aa$ · $Ab$
= $(Aa)^T$ · $Ab$
= $a^{T}A^{T}$$Ab$
= $a^{T}I$$b$ ( ∵ $A^{T}$$A$ = $I$ )
= $a^{T}$$b$
= $a$ · $b$
Proof 2」

Theorem」 Orthogonality of column and row vectors
A real square matrix is orthogonal if and only if its column vectors, $a_1$ ··· $a_n$ (and also its row vectors) form an orthogonal system,
that is, $a_j$ · $a_k$ = ${a_j}^T$$a_k$ = 0 (if $j$ ≠ $k$) → orthogonal
= 1 (if $j$ = $k$) → normalization
Theorem」 Determinant of an Orthogonal matrix
The determinant of an orthogonal matrix has the value +1 or -1
Proof」 det($AB$) = det($A$)det($B$)
= det($B$)det($A$)
1 = det($I$) = det($A^{-1}A$)
= det($A^{T}A$)
= det($A^{T}$) det($A$)
= det$^2$($A$) → det($A$) = ± 1
Theorem」 Determinant of an Orthogonal matrix
The eigenvalues of an orthogonal matrix A are real or complix cojugates in pairs and have absolute value 1.
Proof」 The eigenvalues of an orthogonal matrix A.
A가 orthogonal matrix 이므로 entries 들이 모두 실수.
→ |$A - \lambda I$| = 0 에서 ${\lambda}^n$ 에 해당하는 모든 계수값 들은 실수(real coefficents).
→ eigenvalues 들은 char-equ ( |$A - \lambda I$| = 0 ) 식으 근이므로 real or complex conjugate pairs 들이 된다.
→ |$\lambda$| = 1
'Linear Algebra' 카테고리의 다른 글
| [Linear Algebra] #13 Eigenbases, Diagonalization, Quadratic forms (0) | 2021.02.03 |
|---|---|
| [Linear Algebra] #11 Symmetric, Skew-symmetric and Orthogonal matrices (0) | 2021.02.03 |
| [Linear Algebra] #10 Matrix Eigenvalue Problems (0) | 2021.02.02 |
| [Linear Algebra] #09 Inverse of matrix Gauss-Jordan Elimination (0) | 2021.02.02 |
| [Linear Algebra] #08 Solution of linear systems (0) | 2021.02.02 |